Mais de 20 famílias sofreram soterramento em Manaus; sete crianças morreram
Por: Thais Matos
20 de janeiro de 2025
MANAUS (AM) – A cidade de Manaus, capital do Amazonas, registrou, no período de 2020 a 2025, a morte de pelo menos 13 pessoas vítimas de deslizamentos de terra, sendo sete crianças de até 11 anos. Ao todo, cerca de 22 famílias tiveram suas casas destruídas ou comprometidas em áreas de risco. Levantamento feito pela CENARIUM nessa segunda-feira, 20, mostra que a maioria dos desastres ocorreu nas zonas Centro-Oeste e Leste da capital amazonense.
Segundo o mapeamento da Defesa Civil do Amazonas, as áreas das zonas Centro-Oeste, Leste e Norte de Manaus são as mais propícias a serem afetadas por desbarrancamentos e inundações, principalmente, durante o período chuvoso. Este ano, a Prefeitura de Manaus prevê um gasto de R$ 173 mil para redução de incidência de desastres, enquanto o gasto com publicidade é estimado em R$ 71 milhões, segundo o Projeto de Lei Orçamentária Anual de 2025 (Ploa).
Leia também: Prefeitura de Manaus prevê R$ 71 milhões para publicidade e R$ 173 mil em prevenção de desastres

À reportagem, o sociólogo e professor da Universidade Federal do Amazonas (Ufam), Luiz Antônio Nascimento, critica a falta de Projetos de Lei (PL) que ajustem o orçamento do município para combater com mais eficácia esse tipo de acontecimento.
“É indispensável que a prefeitura disponha de um orçamento específico para lidar com problemas pontuais, como o reassentamento de famílias, a construção de muros de arrimo, o desvio do fluxo de água e outras medidas preventivas. Para obter esse orçamento, é necessário apresentar Projetos de Lei à Câmara Municipal, elaborados com base em estudos técnicos sólidos, realizados pelas áreas competentes da prefeitura”, ressalta Nascimento.
O coordenador do Laboratório de Análise e Tratamento de Sedimentos e Solos (Latossolo), do Departamento de Geografia da Universidade Federal do Amazonas (Ufam), o professor doutor Antonio Fábio Vieira, explica que os fenômenos de deslizamentos, desmoronamentos, corridas de lama, entre outros, têm uma ocorrência direta relacionada à declividade do terreno e ao volume de chuvas. Outros fatores também podem contribuir para o desencadeamento desse processo, como a ausência de vegetação, drenagem inadequada, acúmulo de lixo e o uso e ocupação de áreas suscetíveis a esses eventos.

“Em ambientes urbanos, esses fatores costumam ocorrer simultaneamente. Algumas áreas são naturalmente propensas a esses processos, e a ocupação dessas regiões aumenta significativamente o risco de deslizamentos. No Brasil, especialmente em nossa região, os movimentos de massa têm como principal agente as águas das chuvas. Assim, há uma forte relação entre o uso inadequado do solo e a precipitação, sendo difícil atribuir um peso maior a um ou outro fator”, afirma o especialista.
Ainda de acordo com o professor doutor Antonio Fábio Vieira, o planejamento urbano no Brasil, para prevenir tragédias dessa natureza, deve priorizar a não ocupação de áreas suscetíveis a riscos. No entanto, o crescente aumento da população urbana tem levado à ocupação de novas áreas, muitas vezes sem o devido embasamento técnico.
“Assim, áreas que não deveriam ser ocupadas cedem lugar para a ocupação irregular, que aliada às condições de drenagem artificial deficiente, e combinada com outros fatores, como a forte declividade do terreno, a ausência de vegetação, o solo exposto e o lixo, acaba por potencializar a ocorrência de movimentos de massa”, ressalta o professor doutor.
Pai e filha de 8 anos morrem
Na tarde de domingo, 19, um desbarrancamento de terra deixou uma família soterrada no bairro Redenção, na Zona Centro-Oeste de Manaus. Ao menos quatro pessoas estavam em uma das casas atingidas no momento do desastre.
Um adolescente de 16 anos, identificado como Mateus Oliveira Amorim, foi resgatado com vida e encaminhado pelo Corpo de Bombeiros Militar do Amazonas (CBM-AM) para o pronto-socorro mais próximo para receber os primeiros atendimentos. Além dele, horas depois, uma mulher, identificada como Juliana Amorim, foi resgatada e encaminhada ao Hospital e Pronto-Socorro Dr. Aristóteles Platão Bezerra de Araújo, na Zona Leste de Manaus.

Os corpos de Jeferson Pereira Araújo, de 32 anos, e Ester Amorim, de 8 anos, esposo e filha de Juliana, foram encontrados no final da noite de domingo. De acordo com a Defesa Civil, pai e filha foram encontrados abraçados em meio aos escombros. A causa da morte foi dada como asfixia mecânica por soterramento, politraumatismo contuso e ação contundente, segundo registrado no Instituto Médico Legal (IML).
Outras ocorrências
Em 24 de março de 2023, um deslizamento de terra na Rua Projetada 4, no bairro Petrópolis, Zona Sul de Manaus, destruiu duas casas após uma forte chuva atingir a capital amazonense. Além das residências, o muro de um imóvel também ficou destruído. Na ocasião, a CENARIUM apurou que não houve feridos, apenas perdas e danos materiais.

Após o desbarrancamento, outras casas ficaram sob risco de serem destruídas. Segundo relatos de moradores naquele momento, além do desabamento, ruas também ficaram alagadas e casas foram inundadas pela água, além de carros que ficaram submersos.
Cerca de dez dias antes, outro deslizamento de terra deixou oito pessoas mortas e mais de 70 famílias desabrigadas na Rua Pingo D’Água, no bairro Jorge Teixeira, Zona Leste da cidade. Entre as vítimas estavam quatro crianças. Ao todo, 11 casas foram soterradas.
Entre os mortos estavam Jucicleia Barbosa de Lima, 31, e Eloisa de Lima Referino, 7, que eram mãe e filha. Na época, a reportagem apurou que Jucicleia e o esposo, que sobreviveu ao desastre, buscavam independência e privacidade. O casal tinha o sonho da casa própria e trabalhava para construir a residência. O local era mapeado como área de risco pela Defesa Civil municipal.
As outras crianças, também vítimas do deslizamento, foram identificadas como Caleb Mendes Nunes (7 anos), Israel Jonniel Frango (7 anos) e Dainelson Rosniel Alvorada (4 anos).

No mesmo mês, três crianças e três adultos ficaram feridos após um barranco desabar sobre residências na Rua Projetada, bairro Armando Mendes, Zona Leste de Manaus, durante uma forte chuva que atingiu Manaus. Duas crianças ficaram soterradas e foram socorridas pelos vizinhos.
Na época do caso, a Defesa Civil condenou pelo menos mais quatro residências. Duas casas ficaram completamente destruídas e outras duas foram parcialmente afetadas.
Em 17 de janeiro de 2022, uma criança de 7 anos ficou soterrada após o deslizamento de um barranco durante um temporal que atingiu a Comunidade Fazendinha, localizada no bairro Cidade de Deus, Zona Norte de Manaus. Na Comunidade Nossa Senhora de Fátima 2, no mesmo bairro, a forte chuva deixou as vias submersas e fez moradores que se deslocavam para suas residências caminharem em meio à água.

Na ocasião, o Corpo de Bombeiros informou que quatro crianças estavam na casa quando o barranco deslizou. Três delas foram resgatadas, mas uma menina não conseguiu sair a tempo. Ela foi identificada como Raika Mirela dos Santos Pinheiro.
A CENARIUM conversou com a mãe de Raika, Francisca dos Santos Pinheiro, que informou, na época do caso, que a menina e os irmãos iam passear no shopping até que começou a chover. Raika foi, então, para o quarto, onde ficou sentada na cama, encostada na parede, momento em que o barranco cedeu.
Em 23 março de 2020, outra criança foi vítima de um deslizamento, dessa vez na Rua Carpina, no bairro Redenção, Zona Centro-oeste de Manaus. Cauã Barbosa de Lima, que tinha 11 anos, dormia no momento do deslizamento, ocasionado pela chuva que atingiu a cidade naquele dia, segundo noticiado pelo portal D24AM. O local está a cerca de 600 metros de onde pai e filha foram soterrados no último domingo.

O padrasto da vítima, Luís Carlos Ribeiro Junior, comentou à época do caso, que ele e a mãe da criança estavam acordados, enquanto o menino dormia em outra cama próximo à parede atingida pelo deslizamento. Casas próximas ao local, que é de difícil acesso, também foram atingidas pela lama do barranco e inundadas pelo igarapé que transbordou. Uma dessas casas ficou parcialmente submersa pelas águas.
Município crítico
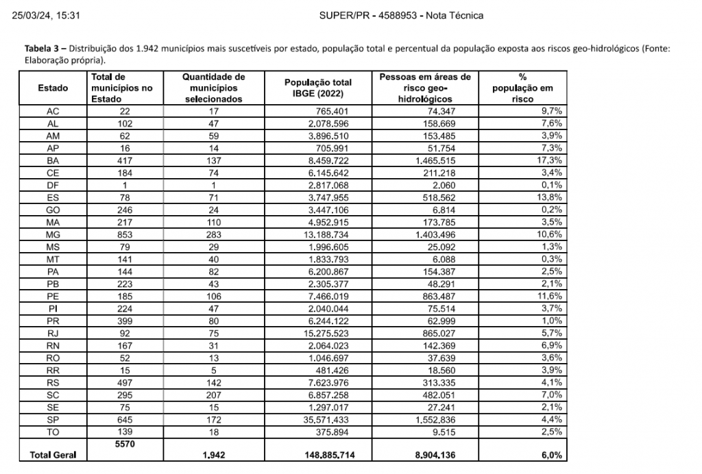
Ainda em 2024, a Secretaria Especial de Articulação e Monitoramento da Casa Civil da Presidência da República elaborou uma nota técnica na qual mostrou que a capital amazonense concentra mais de 55 mil pessoas que residem em áreas de risco e está classificada como “município crítico”. O número em todo o Estado do Amazonas chega a 153.485 pessoas.

O sociólogo e professor da Universidade Federal do Amazonas (Ufam) Luiz Antônio Nascimento defende que a prefeitura deve contar com uma estrutura administrativa que tenha tanto autonomia quanto capacidade de ouvir a população.
“É fundamental que as secretarias de Obras e de Infraestrutura mapeiem as áreas de risco e elaborem proposições que possam ser encaminhadas à Câmara Municipal como projetos de lei. Esses projetos seriam fundamentais para captar recursos e enfrentar os desafios relacionados”, afirmou Nascimento.
O especialista ressaltou, ainda, que a atuação da Câmara Municipal é ausente quando se trata de projetos de lei provenientes da prefeitura com o objetivo de implementar políticas públicas de contenção de riscos.
“O problema central é que grande parte dos setores técnicos da Administração Municipal está ocupada por indicações políticas, como vereadores ou aliados do prefeito, que muitas vezes carecem de autonomia e qualificação técnica para executar esse trabalho essencial”, concluiu.