Amom diz que vai reciclar material de campanha após deixar candidatos a vereador sem ‘Fundão’
23 de agosto de 2024

Ana Pastana – Da Cenarium*
MANAUS (AM) – O candidato a prefeito pela federação PSDB-Cidadania, deputado federal Amom Mandel, informou, nessa quarta-feira, 21, que parte dos “santinhos” distribuídos na campanha será feita de material reciclado de “santinhos” dos demais candidatos. A medida foi anunciada em meio ao descontentamento de candidatos a vereador da coligação com o jovem parlamentar, que anunciou, recentemente, que não vai utilizar Fundo Especial de Campanha, conhecido como “Fundão”.
Em sua coligação, Amom tem 38 candidatos a uma vaga na Câmara Municipal de Manaus (CMM), entre eles dois que já possuem mandato de vereador e tentam a reeleição. Nos bastidores, os candidatos alegam que Mandel tenta prejudicar a campanha deles em razão de ausência do “Fundão”, que seria utilizado para custear a campanha dos postulantes ao cargo de vereador.
O anúncio da reciclagem foi feito nas redes sociais. Segundo Mandel, as equipes da campanha vão recolher o lixo deixado por colaboradores nas ruas, e quem for pego despejando resíduos deve ser suspenso. O parlamentar também convidou os cidadãos a levarem os resíduos deixados por adversários aos comitês para reciclagem.
Amom Mandel disse que a medida de reciclar o material dos adversários é para preservar o meio ambiente. “Em respeito ao meio ambiente, parte dos santinhos utilizados na nossa campanha será feita através da reciclagem do lixo que os cabos eleitorais dos nossos adversários jogam na rua. Nós queremos fazer diferente, não sujar as ruas e mudar as práticas que a velha política utiliza em campanhas eleitorais”, explicou.
Veja o vídeo:
Fundão
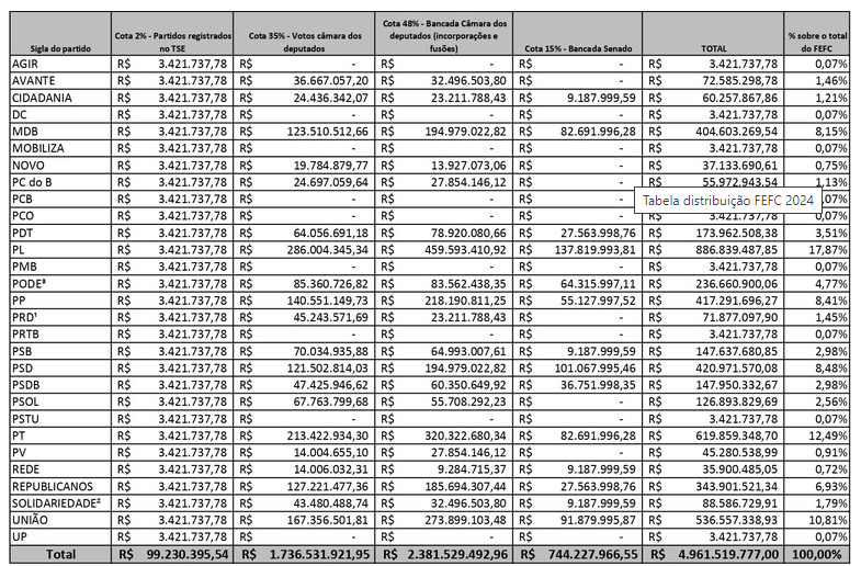
O Tribunal Superior Eleitoral (TSE) divulgou, em junho deste ano, os valores que cada partido vai receber do Fundo Especial de Financiamento de Campanha (FEFC), seguindo o prazo fixado pelo calendário eleitoral.
Ao todo, 29 partidos receberão R$ 4.961.519.777,00, valor estabelecido pelo Congresso Nacional para gastos com a corrida eleitoral deste ano. Os critérios da divisão também foram fixados em lei pelo parlamento (Lei nº 9.504/1997, artigo 16-D).
O Fundão dos partidos PSDB e Cidadania — que formam a federação da qual Amom Mandel faz parte, somam, juntos, R$ 207 milhões. Veja abaixo a tabela geral:

Para receber os recursos, cada partido precisa definir critérios de distribuição às candidatas e aos candidatos, de acordo com a lei, respeitando, por exemplo, a cota por gênero e raça. Ao final do pleito, os partidos deverão apresentar a prestação de contas detalhada, que será examinada e votada pelo plenário do Tribunal.
(*) Com informações do TSE
Podcast: Play in new window | Download